被雨雪冰冻封住的回家路:列车为何停运?后续怎么保障?
{{sourceReset(detailData.source)}}{{dynamicData.sub_info.subject_name}} 紫牛新闻
{{wholeTimeFilter(detailData.happen_time)}} {{numFilter(detailData.review_count)}}次阅读
{{numFilter(detailData.review_count)}}次阅读
春运期间大范围雨雪天气致多趟列车降速、停运,后续保障如何?
“关注天气变化,出行注意安全。”2月4日,据央视新闻报道,南方大范围雨雪持续到除夕前,大风蓝色预警、大雾黄色预警、暴雪橙色预警、冰冻橙色预警,4日早间,中央气象台连发4预警,预计今天8时至明天8时,贵州、湖南、湖北、江西、安徽等地部分地区有冻雨,安徽、江苏、山东等地部分地区有暴雪。北方降雪在后天基本结束,南方大范围雨雪则持续到除夕前。
受大范围雨雪天气影响,多地多班次列车开启降速、停运。截至2月4日12时,据澎湃新闻记者不完全梳理,今日成都、上海、武汉、广州、济南等地铁路局已公告部分车次停运、晚点。2月3日,澎湃新闻记者从国铁集团获悉,武汉、郑州、上海、广州、西安等铁路局集团公司根据天气影响情况,动态调整旅客列车运行方案,采取降速、停运等预防性措施,主动规避安全风险。
一位地方铁路局内部人士2月4日向澎湃新闻记者指出,铁路停运有多种,有时是停运部分列车,有时是停运整条线路。大雪或冻雨等天气主要会造成铁路接触网覆冰,无法正常取电。多位铁路轨道专家告诉澎湃新闻记者,恶劣天气的影响下部分铁路启动应急机制,列车停运晚点,主要是为了全面保障春节期间乘客的安全。
铁路12306:已收到旅客对于改签、增开等诉求
此次湖北河南等地出现大范围雨雪,对铁路运行造成不小影响。
2月4日上午,从汉口出发前往宜昌的乘客小月已经在汉口站等候近20个小时。小月对澎湃新闻记者说,她购买了2月3日的D2493次动车,原计划3日19时21分发车,全程三个半小时左右,本预计晚上11点就能到家,但现在人还待在车站,发车时间也未定。
小月说,因为大面积晚点导致滞留乘客较多,自己只能席地而坐,“空气不流通,很闷很烦躁。我有家人从宜昌去武汉,昨天晚上说动车半路断电停车,在车上坐了10个小时,快冻死了,真是冰火两重天。”
“手机要省着用电,只能聊这么多,实在不好意思。”说完之后,小月便挂断了电话。
最近出发的乘客中也有幸运儿,武汉的陈先生对澎湃新闻记者表示,他周五下班后乘坐特快列车从深圳返回武汉,在2月3日上午顺利抵达,“刚到家就开始下雪,晚上下的可能是冰雹,声音特别响。凌晨开始停电,一直到今天早上才恢复供电。”陈先生补充说,有朋友同样是计划2日从深圳返回武汉,但买的是高铁票,车次已经直接被取消。
受影响的不仅是湖北地区的乘客。去往河南郑州的黎女士乘坐的是2月3日G1814次列车,原本14时05分出发,发车时间晚了7分钟,但抵达郑州却比预计时间晚了整整一个小时。黎女士对澎湃新闻记者表示,高铁从虹桥站出发一路向北,窗外景色越来越白,到徐州的时候,窗外已是白茫茫一片,车速也明显降低。
虽然路途受影响较小,但黎女士在虹桥高铁站依旧感受到了多趟列车晚点、取消对场站造成的压力,“不要说坐了,连站的地方都很难找。晚点通知一条接着一条,感觉每个人都焦虑到极点了。”
黎女士的朋友黄女士在同一日前往虹桥高铁站乘车,返回河南信阳。但早早抵达高铁站的黄女士却被告知她的车次被取消。黄女士对澎湃新闻记者表示,信阳地处河南、湖北交界,本次受暴雪的影响程度不亚于湖北地区。她说,“好不容易才抢到的高铁票,现在被取消了,还要自己去抢票,真的很恼火。但是这种恶劣天气,确实谁也没办法,只能表示理解。”
2月4日早间,澎湃新闻记者以乘客身份致电12306人工服务热线,接线人员表示,近期高铁出行如遇暴雪、冻雨等天气原因导致停运,特殊情况下只能进行退票处理,暂时没有其他解决办法。记者进一步确认退票之后铁路方面是否有协助改签、增开车次等弥补措施,人工客服称,目前只能由乘客重新购买车票。
“停运可能是由于恶劣天气或是列车本身的一些原因,为了保证旅客生命安全,必须进行停运。”该人工客服指出,大雪、大雾或大暴风雨等天气,可能会影响到列车行驶的视线,从而引发乘客的生命危险的问题,因此需要停运。另外,若列车本身出现问题,也会停运并进行维修。
客服表示,“出现上述情况确实也没办法,大家都不希望列车停运,但恶劣天气也不能冒险继续(行驶),到时候可能造成损失,那是非常巨大的。”
对于滞留旅客的应对举措方面,客服进一步表示,目前已有不少乘客反映类似问题。针对上述情况,铁路方面只有在恶劣天气发生后,尽快给乘客发短信提醒,“在大家对改签、增开车次的诉求,只能作为建议,由我们帮忙提交上去,我们也在等待加开列车的调令。”
有铁路地方局发布提醒公告称,“请密切关注铁路官方微博、站车广播通知及电子显示屏信息,或通过铁路12306APP、12306客服电话详细了解列车停运、晚点资讯,以免耽误您的行程。因列车停运、晚点给您出行带来不便,敬请谅解。各位旅客朋友在收到短信,或在12306查询到列车停运信息后,可自车票发站乘车日期起的30日内(含当日),在全国各大火车站人工窗口、12306网站(12306手机APP)办理全额退票手续,退票均不收取退票手续费。现金支付、已经打印报销凭证的旅客自退票之日起180天内(含当日),持购票时使用的有效身份证件原件至铁路车站窗口交回报销凭证,领取票款。请广大旅客不要短时间内集中到各大火车站窗口办理退票,以免火车站人员高度聚集。”
停运背后有何考量?
“本轮低温雨雪冰冻天气影响范围广、累计雨雪量大、持续时间长、雨雪相态复杂,且正值春节前返乡出行高峰期。低温雨雪冰冻天气对高铁行车影响极大。”2月2日,中国铁路上海局集团有限公司(下简称“上海局集团”)运输部车站科副科长高俊曾表示,根据《铁路暴风雨雪雾等恶劣天气应急预案》,上海局集团针对安徽蚌埠、阜阳、淮南、淮北,江苏盐城、徐州等地雨雪持续加大的实际情况,采取部分列车临时停运、动车组列车区间降速运行、开行接触网除冰、防覆冰列车等确保运行安全的措施手段。
大范围雨雪天气致多地多班次列车降速、停运,背后主要是由于什么原因?能有哪些技术上的应对举措?
2月4日,一位不愿具名的铁路轨道专家告诉澎湃新闻记者,此次影响铁路运行的天气问题主要是冻雨。一方面,冻雨会造成钢轨打滑,轮轨间摩擦力不足,启动、加减速和制动都受到影响,影响列车的运行安全。另一方面,当冻雨冻结在电线(铁路接触网)上时,电线遇冷收缩,再加上冰本身的重量,电线会产生崩断的危险。冻雨也可能会导致接触弧短路,即接触网的构件中有绝缘隔离零件,冻雨会在各零件上形成冰块,会造成绝缘零件失效。
一位轨道交通业内人士指出,不管是冻雨还是大雪,对铁路轨道等的影响主要是造成接触网结冰,受电弓与接触网接触受流性能下降,接触电阻增大,弓网之间引发电弧,轻则受流性能下降,重则弓网损坏。如果是雪比较大,影响轨道或者列车运行制动,需要列车考虑耐雪制动或不依赖轮轨的磁轨制动。
对于技术方面的应对措施,上述人士介绍,可以考虑接触网融雪电路设计,目前国内轨道交通用的很少或者没有。除雪或除冰受电弓滑板设计,一般低速效果明显一些,高速需要降低速度运行。此外,可以采用内燃机调车,不需要外部供电,降低对电网和接触网供电能源依赖。该人士指出,内燃机主要是段厂内调车,正线供电中断或者早期高铁车辆不能相互连接情况下的正线救援。
一位铁路轨道安全专家表示,备用内燃机在日常生活中的作用是发电,例如在铁路部门里突然出现断电,或者因为天气的影响导致供电不足,就可以启用内燃机确保电力供应的正常。另一位铁路轨道专家指出,除了供电备份外,还可以起到内燃机牵引、即拖车的作用,国内高铁都是电气化线路,高铁动车是分散式动力列车,8辆编组中有6辆是动车,2辆是拖车,内燃牵引达不到高铁的运行速度,势必会造成延误,也会影响整体线路的运行计划等。
“高铁是国家的新名片,要确保乘客万无一失。”多位铁路轨道专家向澎湃新闻记者表示,遇到灾害性天气,处理原则是能停运的停运;不能停运的,采取保障措施后限速运行。其中有铁路轨道专家指出,受全球气候变化影响,灾害性天气频率提升,碰到灾害天气造成的这些问题,铁路科研部门也都在研究应对措施,研究、试验、推广和验证都需要一定的时间。另一位铁路轨道专家也表示,为了避免危险事故的产生,部分铁路启动应急机制,暂时取消一些车次等严谨的管理,是从全面保障春节期间乘客的安全角度出发,并不意味着高铁的安全管理或是技术方面存在问题。
近期,各地铁路部门也在积极防范应对低温雨雪冰冻灾害,多措并举保安全、保畅通、保民生,服务旅客平安有序出行。2月3日,澎湃新闻记者从国铁集团获悉,武汉、郑州、上海、广州、西安等铁路局集团公司根据天气影响情况,动态调整旅客列车运行方案,采取降速、停运等预防性措施,主动规避安全风险;全面检查重点线路、桥梁、隧道等关键处所,实时盯控道岔、接触网、动车组等行车设备,加大巡查检修力度,确保铁路设备设施状态良好;组织人员和机具上线扫雪除冰,最大限度减少积雪结冰对运输秩序的影响;在主要铁路干线和枢纽储备一定数量的热备内燃机车和救援人员,做好应急准备。截至目前,受低温雨雪冰冻天气影响,汉口至宜昌铁路等线路部分区段限速运行。
![]()
中国铁路上海局集团供图
该负责人介绍,在确保运输安全的前提下,各地铁路部门统筹运用机车、车辆和动车组资源,在天气好转的地区和线路及时增加运力投放,最大限度满足旅客出行需求。北京局集团公司在太原、沈阳、哈尔滨、长春、长沙、西安等热门方向计划增开旅客列车177列。上海局集团公司在长沙、南昌等热门方向计划增开旅客列车472列。广州局集团公司在成都、重庆、南宁、南昌等热门方向计划增开动车组列车443列,开行夜间高铁308列。兰州局集团公司增开兰州(兰州西)至银川、陇南、中川机场等热门方向旅客列车16列。
今日多地铁路局公告部分车次停运、晚点
截至2月4日12时据澎湃新闻记者不完全梳理,今日成都、上海、武汉、广州、济南等地铁路局已公告部分车次停运、晚点(以下信息按发布时间来排序)。
据中国铁路成都局集团有限公司消息,受天气影响,2月4日,D4888次(成都东-西安北)、D4894 次(成都东-西安北)、D4039次(西安北-毕节)、D4040(毕节-西安北)、G4866 次(重庆北-北京西)、G8518 次(沙坪坝-永川东)、G8517次(永川东-重庆西)、C9992次(重庆北-万州北)、C9993次(万州北-重庆北)列车停运。同时,部分线路列车可能晚点运行。
2月4日0时35分,中国铁路上海局集团有限公司官方微博@长三角铁路 公告显示,受北方地区大范围雨雪冰冻天气影响,为确保旅客列车运行安全和旅客出行安全,长三角铁路部门计划对受影响线路运行的部分列车采取停运和恢复开行措施。截至2月3日22时,计划停运2月3日至2月6日间15趟旅客列车,恢复开行1趟旅客列车。
![]()
截至2月3日22时,计划停运2月3日至2月6日间15趟旅客列车,恢复开行1趟旅客列车
2月4日2时22分,中国铁路武汉局集团有限公司官方微博@武汉铁路 公告显示,受我国中东部地区持续低温冰雪冻雨天气影响,为确保旅客出行安全,2月4日武汉局管内汉口、十堰、宜昌、恩施、枣阳等地往返开行的部分列车停运,以及宜昌、襄阳、武汉往返郑州、南昌、四川等地开行的部分列车停运。铁路部门将及时向广大旅客推送列车停运、变更等信息。
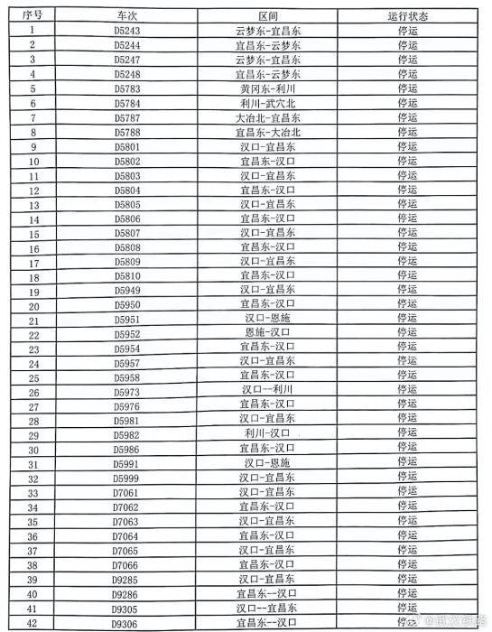
此前2月3日21时,@武汉铁路 公布宜昌东站2月4日临时停运列车信息(见附表)。
![]()
![]()
宜昌东站2月4日临时停运列车信息
2月4日7时39分,中国铁路济南局集团有限公司青岛站官方微博@铁路青岛站 公告显示,受南方降雪影响,2月4日,青岛-宜昌东G1998/5次列车临时停运。
同日8时13分,济南火车站官方微博@铁路济南站 公告显示,受南方降雪影响,2月4日,济南东-汉口G2666/3次列车、汉口-济南东G2664/5列车临时停运。
2月4日2时52分,中国铁路广州局集团有限公司官方微博@广州铁路 公告显示,受湖南境内冰冻雨雪天气影响,为确保旅客和列车运行安全,铁路部门对途经该地区多个区段列车限速运行,致部分列车出现不同程度晚点。9时2分,@广州铁路 公告显示,受湖北境内冰冻雨雪天气影响,由广东地区各站始发前往武汉方向的普速客车将出现不同程度的晚点。
10时32分,中国铁路广州局集团有限公司长沙车站官方微博@广铁集团长沙火车站 公告显示,受湖南境内雨雪天气影响,为确保旅客和列车运行安全,铁路部门对渝厦高铁部分高铁列车采取停运措施,2月4日长沙站相关停运车次分别为,长沙—龙山北G5880,长沙—吉首东G5892,长沙—常德G5896,龙山北—长沙G5879,吉首东—长沙G5890/1,常德—长沙G5691,吉首东—长沙G5658/9,常德—长沙G5881,长沙—张家界西G5882,长沙—咸丰G5878,长沙—常德G5692,张家界西—长沙G5883,咸丰—长沙G5877,张家界西—长沙G5869,长沙—吉首东G5868,常德—长沙G5893,吉首东—长沙G5866,长沙—常德G5870,长沙—张家界西G5894。具体停运情况以12306网站、12306手机APP为准。
11时,中国铁路成都局集团有限公司官方微博@西南铁路 公告显示,受中东部地区雨雪天气影响,2月4日,G2242次(沙坪坝-西安北)、G3427次(成都东-郑州东)、G3410次(重庆北-郑州东)、G3406次(重庆北-郑州东)、D634次(成都东-汉口)、D2278次(重庆北-汉口)、C37次(涪陵北-潼南)、C998(潼南-重庆北)、D5134次(泸州-成都东)、D5135次(成都东-自贡)、D5136次(自贡-成都东)列车将停运。
编辑 : 严静
更多内容请打开紫牛新闻, 或点击链接

